Industry Insights

Abstract
This study introduces an innovative probiotic formulation composed of Streptococcus thermophilus ST36 and Lactobacillus acidophilus LA18, designed to target and inhibit pathogenic bacteria in the oral cavity. The combination of these two bacterial strains demonstrates a synergistic effect, effectively reducing oral pathogens, alleviating symptoms of periodontitis, and preventing gum disease.
Keywords: Probiotic, Oral Health, Periodontitis, Streptococcus thermophilus, Lactobacillus acidophilus
Introduction
Oral diseases like dental caries and periodontitis are primarily driven by pathogenic microorganisms. Current treatments often include hygiene practices, medication, and surgical interventions, which may have limitations in effectiveness, potential side effects, and high costs. Given the complexity of the oral microbiome, probiotics offer a promising approach to manage microbial balance and improve oral health outcomes by reducing pathogen colonization and modulating inflammation.
Materials and Methods
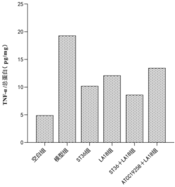
The patented formula includes Streptococcus thermophilus ST36 (CGMCC No. 20676) and Lactobacillus acidophilus LA18 (CCTCC No. M 2022572), mixed in various live bacterial ratios optimized for pathogen inhibition. The probiotic agent is offered in multiple forms, including liquid solutions, freeze-dried powders, capsules, and tablets. Tests on pathogen inhibition were conducted with a rat model of periodontitis, comparing weight stability, pathogen colonization, and inflammatory markers.
Results and Discussion
· Pathogen Inhibition: The ST36 and LA18 blend significantly inhibited key oral pathogens, including Porphyromonas gingivalis, compared to individual strains alone.
· Periodontitis Model: Rats treated with the combined probiotic displayed improved weight maintenance and reduced inflammation in gum tissue.

· Inflammation Markers: Probiotic intervention markedly decreased levels of TNF-α and IL-8 in gum tissue, indicating a reduction in inflammation and tissue damage associated with periodontitis.


Conclusion
This probiotic combination shows promise as a preventive and therapeutic agent for oral health, especially in mitigating pathogenic bacterial growth and reducing inflammation in periodontal disease. It provides a safe, effective, and non-invasive alternative to traditional treatments for oral infections.